Table of Contents
はじめに:熱が物質の「状態」を変えるとき
熱が物体に加わると、温度が上昇するだけでなく、物質の「状態(相)」そのものが変化することがあります。たとえば、氷が水に、そして水が蒸気になる――これはすべて「相変化(Phase Change)」によるものです。
相変化は、単なる温度変化とは異なり、大量の熱が吸収・放出されるにもかかわらず、温度が一定に保たれるという特異な現象です。このときの熱移動は、伝導・対流・輻射とは異なる性質を持ち、工学的にも極めて重要な役割を果たします。
1. 相変化伝熱の基本原理
1.1 相変化とは?
相変化とは、物質が固体・液体・気体といった異なる状態に移行する現象です。主な相変化は以下の通りです:

これらの相変化には「潜熱(Latent Heat)」と呼ばれる熱が関与します。潜熱は、温度変化を伴わずに状態を変えるためのエネルギーです。
1.2 相変化伝熱の特徴
① 潜熱による高効率な熱移動
相変化では、温度が一定のまま大量の熱が移動します。たとえば、水の蒸発には約2260 kJ/kgの熱が必要ですが、これは同じ質量の水を0°Cから100°Cまで加熱するのに必要な熱の約5倍です。
② 相境界での熱伝達
相変化は、物質の界面(固液、液気など)で起こるため、界面の挙動が熱移動に大きく影響します。界面の位置、形状、移動速度などが重要な設計パラメータになります。
③ 非定常・非線形性
相変化は時間とともに進行し、物質の状態が変化するため、伝熱解析は非定常・非線形になります。数値解析や実験でも工夫が必要です。
1.3 代表的な相変化伝熱現象
1.3.1 沸騰(Boiling)
沸騰とは何か
沸騰は、液体が加熱されて液相から気相へ急速に相変化する現象です。
単なる蒸発と異なり、液体内部や加熱面から気泡が発生・成長・離脱する過程を伴います。
このとき、潜熱によって大量の熱が移動し、非常に高い熱伝達率が得られるのが特徴です。
1.3.2 沸騰の分類
沸騰は、流体の流れの有無と発生条件によって分類されます。
1.3.2.1 流れの有無による分類
- ・プール沸騰
静止液体中での沸騰。実験や基礎研究でよく用いる。 - ・流動沸騰
流体が流れる中での沸騰。熱交換器や原子炉冷却系で重要。
1.3.2.2 沸騰曲線による分類(プール沸騰の場合)
沸騰曲線(熱流束 q vs 過熱度 ΔT)で、以下の領域に分けられます。過熱度ΔTとは、加熱面の温度が液体の飽和温度(沸点)をどれだけ上回っているかを示す温度差のことです。
1. 自然対流領域(ΔTが小さい)
沸騰は起こらず、自然対流が支配的。
2. 核沸騰領域(Nucleate Boiling)
微細な気泡が加熱面から発生し非常に高い熱伝達率を示すため、実用的に最も利用価値が高い領域です。加熱面の微細な凹凸や不純物が気泡核となり、周囲の液体から潜熱を吸収しながら成長して膨張。浮力や流れによって加熱面から離れ、気泡が離れたところに液体が流入し、再び加熱される。この一連の繰り返しが高い熱伝達率を生みます。
3. 臨界熱流束(CHF, Critical Heat Flux)
熱流束が最大に達する点です。CHFは安全設計上の最重要パラメータで、以下の予測式があります。

4. 膜沸騰領域(Film Boiling)
加熱面が蒸気膜で覆われ、急激に熱伝達率が低下します。
1.3.3 凝縮(Condensation)
凝縮は、沸騰の逆で気相が冷却されて液相に変化する相変化現象です。このとき、気体は潜熱を放出し、大量の熱が移動します。
1.3.3.1 発生形態による分類
- ・膜状凝縮(Filmwise Condensation)
冷却面全体が液膜で覆われます。液膜が熱抵抗となるため、熱伝達率は比較的低くなります。 - ・滴状凝縮(Dropwise Condensation)
液滴が形成され、成長・離脱を繰り返します。液膜が形成されないため、熱伝達率は膜状の数倍〜10倍以上。ただし、長期的に滴状を維持するのは困難です。
1.3.3.2 凝縮の物理メカニズム
膜状凝縮のプロセス
1. 冷却面に蒸気が接触し、表面温度が飽和温度以下であるため凝縮が始まる。
2. 液滴が連続的に広がり、液膜を形成。
3. 液膜は重力やせん断力で流れ落ち、下方に集まる。
4. 液膜の厚みが増すと熱抵抗が増加し、熱伝達率が低下。
滴状凝縮のプロセス
1. 表面の濡れ性が低く、液滴が付着しにくい状態で発生。
2. 微小液滴が成長し、重力や表面張力で離脱。
3. 離脱後の表面が再び蒸気にさらされ、新たな液滴が形成。
4. 液膜が形成されないため、熱伝達率が高く維持される。
1.3.3.3 熱伝達特性と代表式
膜状凝縮の熱伝達率(Nusseltの理論式)
垂直平板上の層流膜状凝縮では、平均熱伝達率 h̅ は以下で表されます:

滴状凝縮はこの数倍〜10倍の熱伝達率を持つことが知られています。
1.3.4 融解・凝固
固体と液体の間の相変化です。金属の鋳造、氷蓄熱、PCM(相変化材料)などに応用されます。PCM(相変化材料)は、融解・凝固や固体–固体転移などの相変化を利用して、大量の熱エネルギーを潜熱として蓄えたり放出したりする材料です。最近ではネッククーラーなどによく利用されています。
- ・融解:固体が加熱され、相変化温度(融点)に達すると液体に変わる現象。
- ・凝固:液体が冷却され、相変化温度に達すると固体に変わる現象。
いずれも潜熱(Latent Heat)のやり取りを伴い、温度は相変化中ほぼ一定に保たれます。
このため、温度変化だけでなく界面の移動が熱移動の本質になります。
1.3.4.1 熱移動の特徴
1. 潜熱支配
• 顕熱(温度変化)に比べて潜熱が大きく、短時間で大量の熱を移動可能。
2. 界面移動
• 固液界面の位置が時間とともに変化し、熱伝導経路が変わる。
3. 非定常性
• 相変化は時間依存で進行し、解析は非定常熱伝導方程式+界面条件で記述。
4. 密度差・対流の影響
• 液相が生じると自然対流が発生し、熱移動が加速する場合がある。
1.3.4.2 PCMの分類と特徴
PCMは大きく有機系、無機系、共融系に分類されます。

1.4 計算モデル
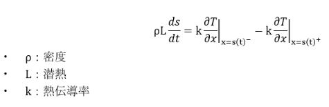
1.4.1 ステファン問題(Stefan Problem)
融解・凝固の解析で最も基本的なモデル。
一次元の場合、固液界面位置 s(t) は以下のように表されます。左辺は界面移動に伴う潜熱のやり取り、右辺は固相側・液相側からの熱流束差を示しています。

1.4.2 エンタルピー法(Enthalpy Method)
- ・潜熱を比熱に組み込み、温度依存の有効比熱として扱う。
- ・数値解析で界面追跡を明示的に行わずに相変化を表現可能。
界面追跡の煩雑さを回避しつつ、潜熱の効果を正確に取り込むための有力な手法で実装の柔軟性と安定性が高いのがメリットです。
1.5 工学的応用と設計指針
相変化は大量の熱が吸収・放出されるにもかかわらず、温度が一定に保たれるという特異な現象を利用して、多くの分野で工学的に応用されています。
1.5.1 PCM蓄熱システム(建築・エネルギー分野)
主目的
- ・昼夜の温度変動緩和
- ・再生可能エネルギーの蓄熱
- ・空調負荷の平準化
設計指針
- ・融点選定:使用環境の温度帯に合わせてPCMの融点を選ぶ(例:建築用途なら20–26℃)
- ・潜熱量と熱伝導率:高潜熱で蓄熱容量を確保し、フィンや添加材で熱伝導率を補強
- ・過冷却・相分離対策:安定性の高いPCMを選定し、必要に応じてカプセル化や安定化剤を使用
- ・繰返し耐久性:数千回以上の融解・凝固サイクルに耐える材料を選ぶ
- ・充放熱速度:熱交換面積の確保と熱伝導経路の最適化(多孔質マトリクスや金属フィン)
1.5.2 凝縮熱交換器(空調・発電・水回収)
主目的
- ・蒸気の効率的な液化
- ・熱交換器の小型化・高性能化
- ・水分回収や冷却
設計指針
- ・凝縮様式の選定:滴状凝縮を促進する疎水性表面で高熱伝達率を実現
- ・液膜排出設計:傾斜・重力・表面張力を利用して液膜を迅速に除去
- ・非凝縮性ガスの管理:凝縮器内のガス除去機構を設けて性能低下を防止
- ・表面処理:ナノ構造やフッ素系コーティングで濡れ性を制御
- ・流体条件:蒸気温度・圧力・流速を最適化し、凝縮効率を向上
1.5.3 蒸気発電・原子力冷却系
主目的
- ・高効率な蒸気発生と復水
- ・安定した熱交換と冷却
- ・安全性と信頼性の確保
設計指針
- ・ボイラー設計:核沸騰領域を維持し、CHFを超えないように熱流束を制御
- ・復水器設計:滴状凝縮を促進し、非凝縮性ガスを排除
- ・材料選定:高温・高圧環境に耐える耐腐食性合金やセラミック
- ・流体制御:蒸気流速・圧力・温度の最適化
- ・冗長性とフェイルセーフ:冷却系の多重化と緊急停止機構の設計
1.6 今後の展望と研究動向
相変化伝熱は、エネルギー効率化や新しい熱マネジメント技術の鍵として、今後も研究が進む分野です。近年の注目トピックをいくつか挙げます。
1.6.1 ナノ・マイクロ構造による表面改質
沸騰や凝縮などの相変化伝熱では、加熱面や冷却面の表面状態が熱伝達率に大きく影響します。特に、気泡の発生・成長・離脱や液滴の挙動は、表面の粗さ・濡れ性・微細構造によって制御可能です。
技術アプローチ
① 微細加工(Micro/Nano Texturing)
- ・レーザー加工、エッチング、陽極酸化などにより、数十nm〜数μmスケールの凹凸を形成
- ・気泡核の生成位置を制御し、核沸騰の安定化や沸騰開始温度の低減を実現
- ・凝縮では液滴の接触角を調整し、滴状凝縮の維持に貢献
② 表面コーティング
- ・疎水性/親水性コーティング(例:フッ素系、酸化チタン系)
- ・多層膜やグラフェンコートによる熱伝導率の向上と濡れ性制御
- ・耐腐食性・耐熱性を兼ね備えた機能性表面の開発
③ バイオミメティクス構造
- ・蓮の葉、蝶の翅、サメ肌など自然界の構造を模倣
- ・自己洗浄性や液滴の高速離脱性を活かし、凝縮面の液膜滞留を防止
研究成果と応用例
- ・沸騰熱伝達率が最大で従来比2〜5倍向上した報告あり
- ・滴状凝縮の持続時間が数十時間以上に延長された事例も
- ・宇宙機器、高性能冷却器、マイクロ流体デバイスへの応用が進行中
1.6.2 新規相変化材料(PCM)の開発
従来のPCM(パラフィン、水和塩など)は、熱伝導率の低さ、過冷却、相分離、繰返し劣化などの課題を抱えていました。これらを克服し、高性能・高耐久・広温度域対応のPCMを開発することが研究の焦点です。
技術アプローチ
① 高熱伝導率PCM
- ・グラファイト、カーボンナノチューブ、金属粒子(Cu, Al)を添加
- ・多孔質金属マトリクスへの含浸
- ・熱伝導率が従来の数倍に向上し、充放熱速度の改善が可能
② 可逆性・耐久性の高い有機PCM
- ・脂肪酸系、ポリエチレングリコール系などの安定性の高い材料
- ・化学分解や相分離が起こりにくく、数千回以上のサイクル耐久性を達成
- ・建築・電池冷却・医療用途での長期使用に適する
③ 複合PCMによる広温度域対応
- ・複数のPCMを階層的に配置(例:融点20℃・30℃・40℃)
- ・温度帯ごとに段階的に蓄熱・放熱を行うことで、連続的な温度制御が可能
- ・太陽熱蓄熱や電子機器のピーク温度制御に応用
研究成果と応用例
- ・熱伝導率が0.2 W/m·K → 2.0 W/m·K以上に向上した複合PCMの報告あり
- ・複合PCMにより、温度変動±1℃以内の制御が可能になった事例も
- ・建築物の壁材、電池モジュール、衣類・繊維製品への応用が進展中
おわりに・次回予告
相変化伝熱は、潜熱という強力な熱移動メカニズムを活かし、設計次第で極めて高効率な熱制御が可能です。設計者は、相変化温度・潜熱・熱伝導率・表面特性・流動条件・界面挙動などを総合的に評価し、目的に応じた最適な構成を選ぶことが求められる複雑なものになっています。
次回は熱のシミュレーションについて扱いつつ、今回扱うことができなかった熱輻射・対流・伝導の複合伝熱を取り上げたいと思います。
無断転載・無断使用を禁じます。