1.熱シミュレーション
はじめに:なぜ熱シミュレーションが必要なのか?
熱設計は、電子機器、建築、エネルギー、材料加工など、あらゆる工学分野で不可欠です。現実の熱移動は、単一の伝熱モードではなく、熱伝導・対流・輻射が複合的に作用します。これらを定量的に予測・制御するために、熱シミュレーションは強力な設計支援ツールとなります。
本記事では、各伝熱モードの理論、数値計算手法、モデル化のポイント、実務での応用までを体系的に解説します。
1.1 はじめに:複合伝熱の数値解析の意義
現実の熱移動は、単一モードではなく、伝導・対流・輻射が空間的・時間的に連成して作用します。これらを正確に予測・設計するには、偏微分方程式に基づく数値解析が不可欠です。特に、電子機器冷却、炉設計、建築環境、材料加工などでは、複合伝熱の定量評価が性能・安全性・効率に直結します。
1.2. 各伝熱モードの数理モデル
1.2.1 熱伝導(Conduction)
主に固体内の温度分布を予想するための熱伝導モードは、非定常熱伝導方程式によって記述されます。

1.2.2 熱対流(Convection)
流体の運動による熱輸送は、ナビエ–ストークス方程式と熱方程式の連成で記述されます。これによって対流境界条件などで境界条件として入力しなくとも流れ場から熱伝達を計算することが可能になります。
エネルギー方程式(非定常):

熱対流の導出:移流項の意味
エネルギー方程式の中の:は、流体が温度分布を運ぶことを意味します。これは、流体粒子が持つ温度を空間的に移動させることで、熱が輸送されるという物理的意味を持ちます。
- ● 例:暖かい空気が上昇する → 高温領域が移動 → 熱が運ばれる
この項がなければ、熱は拡散(伝導)によってしか移動できません。したがって、熱対流とはこの移流項が支配的な熱輸送モードなのです。
自然対流と強制対流の違い

1.2.3 熱輻射(Radiation)
熱対流以外にも輻射によって熱は運ばれます。
輻射連成では、放射伝達行列法(RTM)やモンテカルロ法が用いられます。比較的実務での利用例は少ないかもしれません。
1. 放射伝達行列法(RTM)
背景
- ● 面間輻射を形態係数(View Factorで表し、各面の放射・反射・吸収を行列形式で記述する方法。
- ● ラディオシティ法(Radiosity Method)とも呼ばれる。
基本式
面Aの放射エネルギー収支は:

これを全ての面について連立方程式化し、行列形式で解く:
特徴
利点:
- ● 面間輻射を厳密に扱える
- ● 幾何学的に単純な系では計算効率が高い
欠点:
- ● 面数が増えると行列サイズが急増(計算負荷大)
- ● 遮蔽や複雑形状の扱いが難しい
2. モンテカルロ法(Monte Carlo Ray Tracing)
- ● 輻射を「光線(フォトン)」としてモデル化し、確率的に追跡する方法。
- ● 複雑形状や波長依存性を扱えるため、炉内輻射や透明体解析に広く使われる。
基本手順
1. 発射面からランダム方向に光線を放出
2. 光線が他の面に当たるまで追跡
3. 吸収・反射・透過を確率的に判定
4. 多数の光線を追跡し、統計的に平均化して輻射熱流束を算出
特徴
利点:
- ● 複雑形状・遮蔽・分光特性を自然に扱える
- ● 任意の境界条件に柔軟
欠点:
- ● 計算コストが非常に高い(多数の光線が必要)
- ● 統計的誤差が残る(収束に時間がかかる)
3. 離散オーディナンス法(Discrete Ordinates Method, DOM)
- ● 輻射輸送方程式(Radiative Transfer Equation, RTE)を、方向を有限個に離散化して解く方法。
- ● CFDとの連成解析に適し、炉内輻射やガス輻射でよく使われる。
基本式
輻射輝度の輸送方程式:

- ● 各方向について差分法や有限体積法で解く
特徴
利点:
- ● CFDとの連成が容易(流体+輻射の同時計算)
- ● 吸収・散乱を含む媒体輻射を扱える
欠点:
- ● 方向の離散化数が少ないと「レイ効果(Ray Effect)」が発生(人工的な筋状パターン)
- ● 高精度には多数方向が必要 → 計算負荷増大
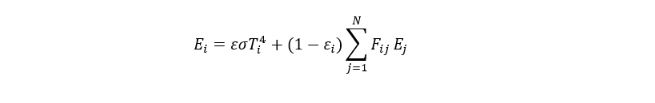
輻射と他の伝熱モードとの連成
熱伝導との連成
- ● 壁面での輻射熱流束を境界条件として熱伝導方程式に組み込む:
熱対流との連成

1.3. 実務での統合フロー
1. 伝導解析:FEMで固体内部の温度分布を解く
2. 対流解析:CFDで流体場を解く(自然対流ならBoussinesq近似を導入)
3. 輻射解析:対象に応じてRTM / Monte Carlo / DOMを選択
4. 連成:輻射熱流束を壁面境界条件や媒体発熱項に組み込み、再計算
5. 反復:温度場・速度場・輻射場が収束するまで繰り返す
1.4. 数値手法と連成解析
- ● 有限要素法(FEM)
- ● 要素ごとに補間関数を定義し、弱形式で方程式を解く
- ● 複雑形状・異方性材料・構造連成に強い
- ● 熱構造連成(Thermal–Structural Coupling)も可能
- ● 有限体積法(FVM)
- ● 制御体積に対して保存則を適用
- ● CFDとの親和性が高く、対流・輻射連成に適する
- ● 商用CFD(Fluent, StarCCM+など)で広く採用
- ● エンタルピー法(相変化対応)
- ● 潜熱をエンタルピーに組み込み、相変化領域を滑らかに表現
- ● 固液界面追跡不要で、PCM解析に適する
- ● CFD(数値流体力学)
- ● 対流・流れ場を同時解析
- ● ナビエ–ストークス方程式と熱方程式の連成
- ● 沸騰・凝縮・自然対流などに対応可能
- ● 熱回路網法(1DCAE)
- ● 熱抵抗・熱容量で回路モデル化
- ● Excelや簡易ツールで実装可能
- ● 初期設計や概算に有効
1.5. モデル化と実装の技術的要点

1.6. 実務応用と設計事例
- ● 電子機器冷却(ヒートパイプ+ヒートシンク)
- ● 発熱源 → 蒸発部 → 蒸気輸送 → 凝縮部 → 空気冷却
- ● 沸騰・凝縮・伝導・対流・輻射の連成解析
- ● CFD+FEM連成で温度分布・熱流束・構造応力を同時評価
- ● 建築熱環境(PCM壁材+自然対流+輻射)
- ● 外壁:太陽輻射+外気対流
- ● 内部:PCM蓄熱+室内対流+赤外線輻射
- ● 年間過渡解析で蓄熱効果と快適性を評価
- ● 高温炉設計(輻射支配+対流補助)
- ● 炉壁:高放射率セラミック
- ● 炉内:輻射伝熱+ガス対流
- ● 輻射形態係数の精密評価と温度均熱化設計
熱シミュレーションは、複雑な熱移動現象を可視化・定量化し、設計の精度と信頼性を高める不可欠な技術です。伝導・対流・輻射を統合的に扱うことで、現実の熱設計に対応した解析が可能になります。現代の開発では試作コストを削減し、開発速度をあげるため、必須の技術となりつつあります。
2.複合伝熱
はじめに:熱は単独では動かない
現実の熱移動現象は、単一のメカニズムだけで説明できることは稀です。たとえば、電子機器の冷却、建築物の断熱、炉内の加熱など、ほとんどの場面では以下の3つの熱伝達が同時に起こっています:
- ● 伝導(Conduction):物体内部での熱の拡散
- ● 対流(Convection):流体の移動による熱の輸送
- ● 輻射(Radiation):電磁波による熱の放射
これらが複合的に作用する「複合伝熱(Combined Heat Transfer)」を正しく理解・解析することは、熱設計の精度と効率を大きく左右します。
2.1 複合伝熱の特徴と課題
相互作用の例
- ● 高温炉壁では、壁内部で伝導し、表面から輻射し、炉内の流体が対流する
- ● 建築物の窓では、ガラスを通じて伝導し、室内外で対流し、太陽光が輻射する
- ● ヒートシンクでは、金属内部で伝導し、空気との接触面で対流し、周囲へ輻射する
課題
- ● 各伝熱モードの境界条件が異なる
- ● 時間依存性や非線形性が強い
- ● 実験的に分離・定量化するのが難しい
- ● 数値解析ではモデル化と計算負荷のバランスが必要
このように複雑な複合伝熱の測定では、次の2つのアプローチが組み合わされます。
1. 総合測定 → モデル分離
全体の熱流束や温度分布を測定し、理論モデルや数値解析で各モードの寄与を推定。
2. 選択的測定 → 実験分離
実験条件や装置構造を工夫して、特定モードを強調または抑制し、寄与を抽出。
2.2 実験的手法:複合伝熱の測定と分離
現実の熱移動現象では、輻射・対流・伝導が同時進行しており、それぞれの寄与を分離して測定するのは容易ではありません。
難しさの要因は以下の通りです:

もちろん熱電対など通常の温度測定器具も使用しますが、複合伝熱測定のときにちょっとした使い道がある測定センサ・測定器・装置として下記を紹介します。
1. 熱流束センサー(Heat Flux Sensor)
- ● 原理:熱電対や熱電堆で温度差を測定し、既知の熱伝導率から熱流束を算出
- ● 用途:総熱流束の測定(輻射+対流+伝導の合計)
- ● 工夫:表面放射率を既知にしたり、金属で覆って輻射成分をモデル分離
2. サーモグラフィ(赤外線熱画像)
- ● 原理:表面からの赤外線放射を検出し、温度分布を非接触で取得
- ● 用途:輻射成分の直接測定、対流・伝導の境界条件推定
- ● 注意点:放射率補正が必須、反射や背景輻射の影響を除去
3. 分光放射計(Spectroradiometer)
- ● 原理:波長ごとの放射強度を測定
- ● 用途:輻射成分の精密評価、放射率の波長依存性測定
- ● 利点:材料の放射特性を高精度で取得可能
4. 多点温度計測(Thermocouple Array)
- ● 原理:複数の熱電対で温度分布を計測
- ● 用途:伝導経路の温度勾配から伝導成分を算出
- ● 工夫:流体側と固体側の両方に配置し、対流境界条件を推定
5. 風速・流れ場計測(PIV, Hot-wire Anemometry)
- ● 原理:粒子画像流速測定(PIV)や熱線風速計で流れ場を可視化・計測
- ● 用途:対流熱伝達率の推定、流れ場と温度場の相関解析
- ● 利点:対流支配領域の特定に有効
測定時の工夫
- ● 寄与分離:
- ● 放射寄与 → 表面放射率を変えて比較
- ● 対流寄与 → 流速や姿勢を変えて比較
- ● 数値解析併用:実験データをCFDや熱回路網モデルに適用し、各モードの寄与を推定
- ● 環境制御:温度・湿度・気流・周囲放射条件を一定に保つ
2.3 実験と数値の融合:モデル検証と設計応用
複合伝熱解析では、実験と数値を組み合わせることで精度と信頼性を高めることができます。
検証の流れ
実験+数値解析の融合
複合伝熱の測定では、実験データと数値解析を組み合わせるのが一般的です。
1. 実験で温度分布・熱流束を取得
2. 数値モデル(FEM, CFD)で同条件を再現
3. モードごとの熱流束を解析的に分離
4. 実験条件を変えてモデルを検証
この手法により、実験単独では困難なモード分離が可能になります。